Metamath
|
 3: - Trinity Through The Holy Spirit
Moving on to seven cycles:
As described before, there is a frobenius map upon the Finite Field of eight elements. There are only three such automorphisms and together, they form a cyclic group of order three. By repeatedly applying the map three times upon a field we hold the prime subfield fixed, (just 0 and 1) and after three applications we retrieve our original arrangement of the field. All three arrangements are isomorphic: the structure is exactly the same but we have a rather special rearrangement of elements. Under one application, x => x3, x5 => x15 = x etc.
Consider what happens to our klein four groups.
One element must be unity: let this be oour "a" without any loss of generality. This element will remain fixed under the Frobenius map.
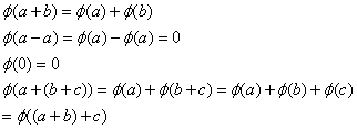
note that under the frobenius map, modulo 2, a subgroup must be sent to another subgroup. inverses remain inverses, additively. Also sums remain sums also, in the sense: 
So subgroups are mapped onto subgroups.
our group{a,b,c} can not be mapped onto itself: for b=>c=>b=>c as three applications of Frobenius would not leave the entrire field fixed. Therefore by elimination we must map onto one of the other subgroups {a,d,e} or {a,f,g}. likewise, each of these groups must be mapped onto one of the other two.
We therefore recover a four-group of Klein four-groups.
Therefore for every element, a singleton on the octal group, there is a klein four group comprised of four groups to which that singleton corresponds : (corresponding to their intersection): Moreover; for which the operations of the Galois (Finite) Field of four elements holds: both with addition and multiplication. For every singleton element of the octal group there are eight groups of seven cycles that permute these subgroups, preserving the inherent structure; so that any singleton element may be permuted to unity. This element will correspond to the intersection of those Klein four subgroups with which we construct our self similarity of the trinity.
Whooomph, let me just exhale!
Any element, We used "a" here" could be our unity element, we simply have to permute the field with a seven cycle from those eight groups that leave the subgroups structurally intact : Like a group with operators.
That unity element may simply be held fixed under a frobenius map that acts just as the multiplication in the field of four elements on those three subgroups containing that particular unity element. There are seven such groups and we find ourselves back at self similarity. We may perform addition on our subgroups as described before, (taking the complement in the octal of their symmetric difference), and we have a field isomorphic to GF(4).
I will add more content as it comes, particularly concerning the uniqueness of this occurrence, as well as how it could possibly reflect reality: There will be scripture as well as some discussion - as to what it means to be "in Christ", or for Christ to be "in us". Are these just euphemisms? I would believe not.
When it comes to the operation of the Klein four group, we may also use upon its singleton elements the similar operation of using the complement in K4 of the symmetric difference, so {a} + {b} = {a,b,c} - {a,b} = {c}
The zero element may additively be replaced by the whole octal (or likewise with the klein four group in K4 addition), so;
{0} + {a,b,c} = {a,b,c,d,e,f,g} + {a,b,c} = {{a,b,c,d,e,f,g} - {d,e,f,g} = {a,b,c}
Continue To Next Page
Return To Section Start
Return To Previous Page |